節流件:標準孔板、標準噴嘴、長徑噴嘴、1/4圓孔板、雙重孔板、偏心孔板、圓缺孔板、錐形入口孔板等
取壓裝置:環室、取壓法蘭、夾持環、導壓管等 連接法蘭(國家標準、各種標準及其它設計部門的法蘭) 、緊固件。 測量管。
孔板流量計的安裝要求:對直管段的要求一般是是前10D后5D,因此在選購孔板流量計時一定要根據流量計的現場工礦情況來選擇適合現場工礦的流量計。
充滿管道的流體,當它們流經管道內的節流裝置時,流束將在節流裝置的節流件處形成局部收縮,從而使流速增加。
孔板流量計工作原理
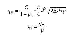
在已知有關參數的條件下,根據流動連續性原理和伯努利方程可以推導出差壓與流量之間的關系而求得流量。其基本公式如下:

c-流出系數 無量綱
d-工作條件下節流件的節流孔或喉部直徑
D-工作條件下上游管道內徑
qm-質量流量 Kg/s
qv-體積流量 m3/s
d/D-直徑比 無量綱
流體的密度Kg/m3
可膨脹性系數 無量綱
一體化孔板流量計測量原理
當充滿管道的流全經孔板時,將產生局部收縮,流束集中,流速增加,靜壓力降低,于是在孔板前后產生一個靜壓差,該壓力差與流量存在著一定的函數關系,流量越大,壓力差就越大。
通過導壓管將差壓信號傳遞給差壓變送器,智能差壓變送器將差壓信號及流體溫/壓信號進行自動補償和智能變送。輸出4~20mA.DC模擬信號或脈沖信號、實現對流體的測量。
取壓方式,常用的取壓方式有叁種:
角接取壓(環室、鉆孔)、 法蘭取壓、 D-D/2徑距取壓五、流量計結構
1.結構
LGBH系列一體化智能孔板流量計,由孔板取壓裝置、三閥組、智能差壓變送器及溫/壓傳感器等主要部分組成。
2.三閥組的作用
可使一體化結構牢固,減少泄漏點;
可在線確認變送器的零點與修正;
一旦變送器出現故障需要檢修或更換時,可在不中斷工藝情況下進行,操作非常方便。
調零、更換變送器時,叁閥組閥門操作程序:
置F1、F3閥于“全閉”位置(順時針方向擰緊)
將F2閥置于“微開”位置(逆時針擰二圈);
二個閥門開關狀態確認無誤后,即可進行調零或檢修或更換。
變送器重新投運時,叁閥組閥門操作程序:
先“關閉”F2閥門;
置F1、F3閥門于“全開”位置。變送器即可進入運行狀態。
在如下情況下,均可選用叁閥組
為減少過程泄漏點
不允許中斷工藝過程
方便變送器檢查或更換
3.溫/壓傳感器溫用以傳輸被測流體的溫度與壓力信號,由智能差壓變送器實現溫/壓全工況的自動補償,以得到真實、準確的流量。
4.智能差壓變送器型號:1151、3351、EJA、FX-2、FCX-A/C及霍尼韋爾ST3000系列等。


